stronger简谱_儿歌简谱(2)
Unit 5 Faster,higher,and stronger下载
如果phigros的新魔王曲是这样的
Unit 5 Faster,higher,and stronger下载
Unit 3 Faster,Higher,Stronger. Lesson 9 Never Give Up 同步练习 含答案
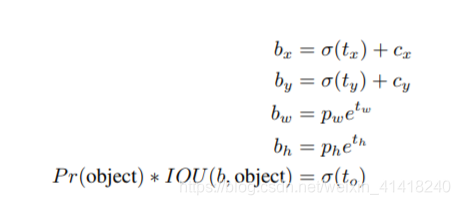
Yolo v2 Better,Faster,Stronger
Unit 3 Faster,Higher,Stronger. Lesson 9 Never Give Up 同步练习 含答案
CAD文字乱码该如何解决
4.The leather material is plastic. A.as strong as B.stronger than C.as weak as D.weaker t 青夏教育精英家教网
完成句子,每空一词1.中国正在一天天地变强大.China is getting stronger and stronger .2.孩子们默不作声地坐在会议室里.The children sat in the meeting
改正这句话 When they get older, the habbits become more stronger and stronger.
Do you want to be in good health Try to do the following things You can become stronger.
Confidence has made our nation stronger
We sometimes call the lion the king of the jungle Because it is stronger and more dangerous than other animals. 1.It is the high
Sugar prices fall on stronger dollar, ample supplies










