人脸简谱_人脸图片
人脸识别最全知识图谱
CICC科普栏目 清华大学发布 人脸识别最全知识图谱
AI计算机视觉之国际最全人脸识别知识图谱 清华大学供你赏读
人脸识别最全知识图谱
如何利用Python和函数库进行简单的人脸识别 附源码
关于 火星人脸 你认为是什么
高校丨清华大学发布 人脸识别最全知识图谱
基于DSP的人脸识别系统设计
基于肤色与人脸运动相结合的自动表情识别算法研究
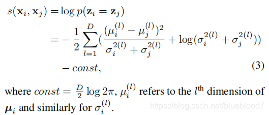
概率人脸嵌入 一
概率人脸嵌入 一
深度解析人脸识别核心技术
人脸识别很神奇对吧 其实五十行Python代码就能搞定
蒸馏法 人脸识别
利用百度AI简单实验人脸检测
人脸识别技术大总结 1 Face Detection Alignment
TensorFlow基础,TensorFlow简单人脸识别
汉王 330型 人脸识别机
人脸识别有歧视 识别准确率黑人比白人差很多,厂商们这样回应
人脸识别相关技术介绍和步骤
人脸识别相关技术介绍和步骤
上一篇:格斯拉简谱_儿歌简谱
下一篇:小萍唱简谱_儿歌简谱


















