Ak简谱_儿歌简谱(3)
Flight of the Bumble Bee Nikolai Rimsky Korsakov
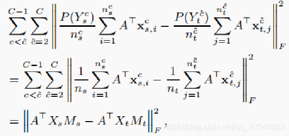
JPDA
J135 木管铜管六重奏 Suite for Winds and Brass Mn.107 Florczak, Lukas
J135 木管铜管六重奏 Suite for Winds and Brass Mn.107 Florczak, Lukas
CF11月新版本 GP步枪56式属性及使用技巧 52pk穿越火线
AK4645 PDF资料下载 73 96 页 Stereo CODEC with MIC HP AMP
Smoothly Varying Affine Stitching
The Snow Maiden opera Rimsky Korsakov, Nikolay
The Snow Maiden opera Rimsky Korsakov, Nikolay
Sadko opera Rimsky Korsakov, Nikolay
Akvareller, Op.19 Gade, Niels
Akvareller, Op.19 Gade, Niels
Oblak a mrakota jest v kol Něho No.1 For Voice, Oboe and Strings Mondrup Engraving files Mup, Shell scripts Oblak a mrakota
上一篇:587简谱_儿歌简谱
下一篇:惊梦钢琴简谱_游园惊梦简谱












