雪霁天晴朗简谱_奇迹暖暖雪霁天图片
在晴朗的夏天简谱 外国曲谱 中国曲谱网
雪霁天晴朗
歌曲 雪霁天晴朗,蜡梅处处香...... 的来历
歌曲 雪霁天晴朗,蜡梅处处香...... 的来历
啊,多么晴朗钢琴谱 选自歌剧 玛尔塔 器乐乐谱 中国曲谱网
雪霁天晴朗
雪霁天晴朗
雪霁天晴朗
雪霁天晴朗
雪霁天晴朗
雪霁天晴朗
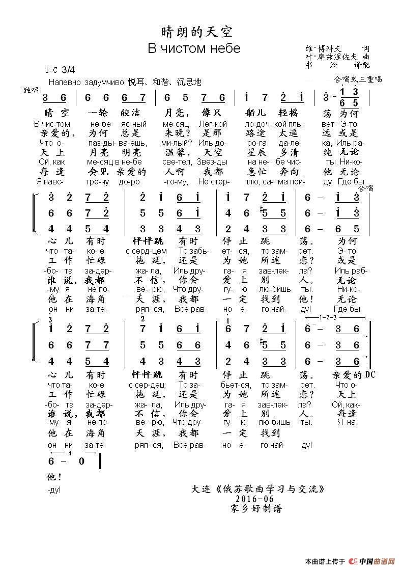
晴朗的天空В чистом небе简谱 中俄简谱 大连家乡好个人制谱园地 中国曲谱网
嵩山游记
雪霁天晴朗,这场大雪是否影响了你的生活
雪霁天晴朗,当麦积山邂逅今冬初雪
雪霁天晴朗
雪霁天晴朗,最适合爬嵩山
雪霁天晴朗,瓜果处处香丨采摘不用等春天 最强永宁冬季旅游采摘攻略送上
雪霁天晴朗 腊梅处处香
雪霁天晴朗 腊梅处处香
雪霁天晴朗,当麦积山邂逅今冬初雪
上一篇:茫歌词简谱_茫钢琴简谱
下一篇:不忘简谱_不忘简谱陈情令笛子














